The effect of phototherapy on the expression of innate immunity genes in patients with psoriasis
- Authors: Olisova O.Y.1, Yazkova O.S.2, Bystritskaya E.P.3, Radchenko T.I.4, Zhgelskaya E.I.1, Svitich O.A.1,3
-
Affiliations:
- I.M. Sechenov First Moscow State Medical University (Sechenov University)
- Central polyclinic
- I. Mechnikov Research Institute of Vaccines and Sera
- Lomonosov Moscow State University
- Issue: Vol 28, No 1 (2025)
- Pages: 87-94
- Section: DERMATOLOGY
- Submitted: 24.10.2024
- Accepted: 17.01.2025
- Published: 06.05.2025
- URL: https://rjsvd.com/1560-9588/article/view/637416
- DOI: https://doi.org/10.17816/dv637416
- ID: 637416
Cite item
Abstract
BACKGROUND: Phototherapy is one of the most effective methods in the treatment of psoriasis, but the mechanism of its action on innate immunity has not been studied.
AIM: Investigation of the local expression profile of innate immunity factors in patients with psoriasis during phototherapy.
MATERIALS AND METHODS: The study included 31 patients diagnosed with inpatient psoriasis vulgaris. The material for the study was obtained from areas of affected and unaffected skin. Patients with vulgar psoriasis received a course of UVB-311 nm phototherapy lasting from 5 to 7 weeks with a total dose of 35.2 to 44.6 J/cm2. There were 30 healthy people in the control group. Gene expression analysis was performed before treatment and at the end of the phototherapy course. The data obtained were statistically processed.
RESULTS: According to the results of the study, gene expression data were obtained: for example, increased expression of the TLR2 and TLR9 genes was observed in the main group after treatment, as well as in samples of unaffected skin from patients. The increased level of the TLR4 gene expression was registered in unaffected skin samples from patients with psoriasis. The expression of the β-defensin 1 gene was elevated in unaffected skin and post-treatment skin. For the cathelicidin gene, there is a difference between the groups of affected and unaffected skin samples before treatment. The expression level of the IL-13 gene was higher before treatment.
CONCLUSION: The revealed local imbalance of factors of innate immunity can lead to a more severe course of the disease. The course of phototherapy leads to normalization of the expression profile of receptor and effector molecules of innate immunity, which leads to a stable positive clinical effect.
Full Text
Обоснование
Псориаз ― хроническое системное воспалительное заболевание кожи, опосредуемое генетическими и иммунологическими изменениями, а также факторами окружающей среды. Распространённость этого заболевания составляет 2–4% по всему миру [1]. Результаты последних исследований подтверждают важную роль микробиоты в развитии и усугублении течения заболевания [2].
Иммунопатогенез псориаза заключается во взаимодействии врождённого и адаптивного иммунитета в основном посредством Т-хелперов 17-го типа (Th17) иммунного ответа и реакций в резидентных клетках кожи [3]. Продуцируемые дендритными клетками интерлейкины (interleukin, IL) 12 и 23, в частности при воздействии на них антимикробных пептидов, усиливают дифференцировку Th17-клеток [4]. Последние вырабатывают провоспалительные медиаторы, такие как IL-17A, IL-17F, IL-22, фактор некроза опухоли альфа (tumour necrosis factor alpha, TNF-α) и интерферон альфа (interferon alpha, IFN-α), что приводит к гиперпролиферации кератиноцитов и инфильтрации кожи иммунными клетками, усиливая воспаление [5]. Следует отметить, что со временем при псориазе образуется порочный круг, когда избыточно пролиферирующие кератиноциты высвобождают больше антимикробных пептидов и цитокинов, таких как IL-1, IL-24, хемокиновый лиганд CC 20 (CCL20), лиганды хемокинов CXC 1–3 (CXCL1-3), выступающих в качестве хемоаттрактантов для лейкоцитов, и способствуют ангиогенезу и дальнейшей пролиферации кератиноцитов [6]; IL-9 также вызывают ангиогенез и поддерживают Th17-опосредованное воспаление, стимулируя ангиогенные маркеры ― сосудистый эндотелиальный фактор роста (vascular endothelial growth factor, VEGF), гликопротеин 31 (CD31) и способствуя секреции IL-17, IL-13, IFN-γ и TNF-α [7]. В целом поражения при псориазе спровоцированы либо экзогенными, либо эндогенными факторами. Факторы врождённого иммунитета кожи играют важную роль при присоединении патогенных микроорганизмов к коже с псориатическими изменениями. Активируются патогенраспознающие рецепторы, в том числе toll-подобные (toll-like receptor, TLR), реагирующие на триггеры и запускающие реакции иммунного ответа [8]. Как упоминалось ранее, патогенам противостоят антимикробные пептиды, такие как кателицидин, человеческие β-дефензины, S100A7, которые также способствуют хемотаксису, ангиогенезу и пролиферации кератиноцитов.
В лечении псориаза одним из эффективных методов является фототерапия, в частности узкополосная УФБ-терапия 311 нм, однако механизм её действия на врождённый иммунитет практически не изучен.
Цель исследования ― изучение локального экспрессионного профиля факторов врождённого иммунитета у пациентов с псориазом при фототерапии.
Материалы и методы
Дизайн исследования
Проведено многоцентровое проспективное нерандомизированное исследование.
Критерии соответствия
Критерии включения: пациенты старше 18 лет; диагноз «вульгарный псориаз» для основной группы; подписанное информированное согласие.
Условия проведения
Исследование проведено на базе Клиники кожных и венерических болезней имени В.А. Рахманова и ФГБНУ «Научно-исследовательский институт вакцин и сывороток имени И.И. Мечникова».
Продолжительность исследования
Исследование выполнено в период с 2023 по 2024 год.
Описание медицинского вмешательства
В исследование включены пациенты с диагнозом вульгарного псориаза стационарной стадии в возрасте от 19 до 73 лет и здоровые добровольцы, составившие группу контроля. Пациенты с вульгарным псориазом получали узкополосную УФБ-терапию 311 нм по методике 4-разового облучения в неделю в кабине Valdmann UV7002 без предварительного определения минимальной эритемной дозы. Начальную дозу, составившую 0,05–0,1 Дж/см2, постепенно (каждые две процедуры) наращивали на 0,1 Дж/см2. Курс фототерапии УФБ-311 нм составил от 5 до 7 недель с суммарной дозой от 35,2 до 44,6 Дж/см2.
Методы регистрации исходов
Анализ экспрессии генов. Из соскобов кератиноцитов кожи в соответствии с инструкцией к коммерческому реагенту Extract RNA (Евроген, Россия) была выделена РНК для каждого образца. Качество выделенной рибонуклеиновой кислоты оценивали на спектрофотометре Nanodrop 2000 (Thermo Fisher, США). Полученные значения концентраций далее использовали для подсчёта необходимого количества РНК для реакции обратной транскрипции (из расчёта 1 мкг образца на реакцию), проводимой по прилагаемой инструкции к набору «ОТ-1» (Синтол, Россия). Комплементарную ДНК, полученную в ходе реакции обратной транскрипции, использовали для определения уровня экспрессии выбранных генов (TLR2, TLR9, IL13, DEFB1, CAMP, TLR4) методом полимеразной цепной реакции в режиме реального времени (ПЦР-РВ). Для проведения ПЦР использовали набор SYBR Green I (Синтол, Россия). ПЦР-анализ в режиме реального времени проводили на приборе «ДТ-96» (ДНК-технология, Россия). Реакцию проводили при следующих условиях: (1) 5 минут при 95ºC ― 1 цикл; (2) 15 секунд при 95ºC, 50 секунд при 60ºC (или 58ºC) ― 40 циклов; (3) плавление. Обработку полученных пороговых значений (threshold cycle, Ct) проводили методом 2-ΔΔC(t) относительно уровня экспрессии гена домашнего хозяйства β-актина (actin beta, ACTB). Данные представлены в относительных единицах. Анализ экспрессии генов проводился до лечения и по окончании курса фототерапии.
Статистический анализ
Статистический анализ полученных данных проводили в несколько этапов в программе GraphPad Prism (9.4.1). При анализе экспрессии генов были посчитаны медианы значений 2-ΔΔC(t) для каждого ряда данных. На основании этих данных строили графики медианных значений относительного уровня экспрессии каждого гена. Были построены диаграммы размаха для визуального представления групп числовых данных через квартили. В тексте медианы и соответствующие интерквартильные размахи обозначены как Ме и [Q1; Q3]. Статистическую значимость между группами данных рассчитывали при помощи непараметрического H-теста Краскела–Уоллиса. Статистически значимыми были результаты при p <0,05.
Результаты
Объекты (участники) исследования
В исследование включён 31 пациент с диагнозом «вульгарный псориаз» стационарной стадии в возрасте от 19 до 73 лет, из них 5 женщин и 26 мужчин. В ходе исследования было сформировано несколько групп, при этом от каждого пациента проводился забор трёх образцов соскобов кожи, а именно поражённого участка кожи до лечения; непоражённого участка кожи до лечения; поражённого участка кожи после проведённой терапии.
В группу контроля вошли 30 здоровых добровольцев, сопоставимых по полу и возрасту (от 19 до 70 лет).
Основные результаты исследования
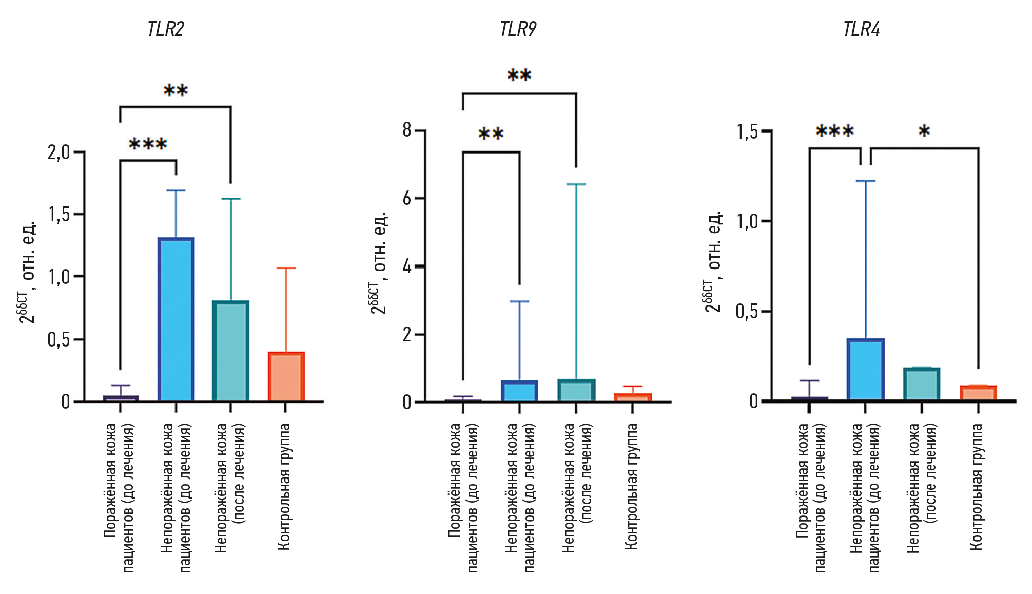
Уровни экспрессии генов TLR по четырём исследуемым группам представлены на рис. 1. Значимая разница результатов по гену TLR2 показана между группами пациентов до лечения (поражённая кожа, непоражённая кожа) и после лечения (поражённая кожа) ― Ме 0,05 [0, 03; 0, 13], Ме 1,32 [1, 04; 1, 69] и Ме 0,81 [0, 16; 1, 63] соответственно. Сходная картина наблюдается и для показателя TLR9: Ме 0,08 [0, 04; 0, 18], Ме 0,66 [0, 56; 2, 98] и Ме 0,69 [0, 17; 6, 42] соответственно. По данным экспрессии гена TLR4 наибольшее значение регистрируется в группе пациентов до лечения (непоражённая кожа) ― Ме 0,35 [0, 23; 1, 23], что значимо выше показателей группы до лечения (поражённая кожа) и группы контроля ― Ме 0,03 [0, 02; 0, 12] и Ме 0,09 [0, 09; 0, 10] соответственно.
Рис. 1. Уровни экспрессии генов TLR по группам: * p <0,05; ** p <0,01; *** p <0,005. Источник: Олисова О.А. и соавт., 2025.
Fig. 1. TLR gene expression levels by groups: * p <0.05; ** p <0.01; *** p <0.005. Source: Olisova O.Yu. et al., 2025.
Уровни экспрессии генов антимикробных пептидов представлены на рис. 2. Непоражённая кожа и кожа после лечения демонстрируют повышенную экспрессию гена β-дефензина 1 (DEFB1). Медианы для групп пациентов до лечения (поражённая кожа, непоражённая кожа), после лечения (поражённая кожа) и контроля составили 1,23 [0, 56; 2, 16], 388,0 [387, 9; 388, 1], 477,7 [2, 0; 548, 7] и 1,0 [0, 95; 1, 0] соответственно. Для гена кателицидина (CAMP) наблюдается разница между группами до лечения (поражённая кожа, непоражённая кожа) и после лечения (поражённая кожа) ― Ме 0,007 [0, 001; 0, 05], Ме 0,98 [0, 105; 3, 05] и Ме 3,37 [2, 42; 4, 09] соответственно.
Рис. 2. Уровни экспрессии генов антимикробных пептидов по группам: * p <0,05; ** p <0,01. Источник: Олисова О.А. и соавт., 2025.
Fig. 2. Antimicrobial peptide gene expression levels by groups: * p <0.05; ** p <0.01. Source: Olisova O.Yu. et al., 2025.
Для гена IL-13 наибольшие показатели медиан регистрировались в обеих группах до лечения ― Ме 0,64 [0, 15; 1, 22] для поражённой кожи и Ме 3,73 [1, 87; 6, 96] для непоражённой кожи, при этом значимая разница зафиксирована между группами непоражённой кожи до лечения и поражённой кожи после лечения (Ме 0,22 [0, 15; 3, 03]); рис. 3.
Рис. 3. Уровень экспрессии гена IL-13 по группам: * p <0,05. Источник: Олисова О.А. и соавт., 2025.
Fig. 3. IL-13 gene expression levels by groups: * p <0.05. Source: Olisova O.Yu. et al., 2025.
Обсуждение
В работе J.L. Curry и соавт. [9] проведён анализ экспрессии генов TLR1, TLR2, TLR4, TLR9 в иммуноцитах кожи и кератиноцитах, полученных от пациентов с псориазом, по сравнению со здоровыми добровольцами. Иммуногистохимия, проводимая с учётом типа и особенностей клеток, показала, что уровень TLR1 был повышен в дендритных клетках и кератиноцитах как поражённой, так и непоражённой кожи при псориазе, а также в клетках, взятых в контрольной группе; экспрессия TLR2 наблюдалась только в дендритных клетках дермы, а TLR4 ― в кератиноцитах; экспрессия TLR9 не регистрировалась ни в одном из исследуемых типов клеток. В культивируемых кератиноцитах, полученных от пациентов, также не показано повышенной экспрессии TLR2, TLR4, TLR9, что частично согласуется с полученными данными текущего исследования. В других работах показана экспрессия генов TLR2, TLR4 и TLR9 в мононуклеарных клетках периферической крови, но не локально в коже [10–12]. В исследовании F. Prignano и соавт. [13] повышение экспрессии внутриклеточного рецептора TLR9 отмечалось лишь в шиповатом слое эпидермиса поражённого участка кожи. В исследовании на мышах показано, что сигнальный путь активации TLR2 напрямую усиливал пролиферацию T-регуляторных клеток и продукцию ими и дендритными клетками IL-10, что подавляло вызванное имиквимодом псориазоподобное воспаление кожи [14]. В нашем случае отмечались значимое снижение показателей экспрессии рецепторов врождённого иммунитета в группе пациентов с поражённой кожей до лечения с тенденцией к повышению после лечения, а также более высокая экспрессия TLR в кератиноцитах непоражённых участков кожи, что может опосредованно свидетельствовать о нормализации показателей вне очага поражения и вне обострения состояния пациента.
В отношении антимикробных пептидов полученные данные неоднозначны. В нашем исследовании в поражённой коже регистрировалось снижение этих показателей, а после терапии и вне очагов поражения отмечались повышение экспрессии (в случае с дефензином-1) и нормализация показателей (в случае кателицидина).
Известно, что продукция LL-37 при псориазе повышается: этот антимикробный пептид образует комплексы с собственной ДНК организма, которые детектируются дермальными плазмацитоидными дендритными клетками посредством TLR9 [15], после чего повышается продукция IFN-α, опосредующая дальнейшие иммунные реакции, связанные с Т-клетками. В одном из исследований отмечалось, что в кератиноцитах LL-37 активировал TLR8, инициируя действие IL-17C через IL-36γ [16], в другой работе показано повышение уровня этого антимикробного пептида в сыворотке крови у пациентов с псориазом [17].
Было также показано, что IL-23 повышает экспрессию гена β-дефензина 2 (DEFB2), стимулируя пролиферацию кератиноцитов и продукцию цитокинов наряду с усилением дифференцировки Th17-клеток [18]. Данные о роли β-дефензина 1 (DEFB1) при псориазе немногочисленны: так, в исследовании T.K. Uzuncakmak и соавт. [19] оценивали динамику экспрессии HBD1 и HBD2 ― уровень экспрессии этих пептидов был значимо выше в группе пациентов с псориазом по сравнению с контролем, однако после применения фототерапии эти показатели не изменялись. В нашем исследовании, напротив, регистрировались изменения после лечения в сторону усиления продукции антимикробных пептидов кератиноцитами. Конечно, нельзя исключать гетерогенные факторы, влияющие на уровень антимикробных пептидов в коже, а также индивидуальные особенности ответа пациента на терапию.
Наконец, по поводу IL-13 можно отметить, что полученные результаты не противоречат данным других исследований. Этот интерлейкин является участником Th2-иммунного ответа, имеющего место, в том числе, при воспалительных заболеваниях, в частности при атопическом дерматите. В работе K. Bodoor и соавт. [20] оценивали продукцию ряда интерлейкинов методом иммуноферментного анализа в группах пациентов с псориазом и атопическим дерматитом, и хотя уровень IL-13 в группе пациентов с псориазом был выше, чем в группе контроля (здоровых людей), но всё-таки ниже, чем в группе с атопической патологией. Влияние IL-13 на рост или подавление роста кератиноцитов в норме и при псориазе не изучалось [21].
Заключение
Патогенез псориаза опосредован иммунологическими реакциями и факторами окружающей среды. В последнее время механизмы врождённого иммунитета при псориазе активно исследуются. В настоящем исследовании показано, что рецепторы врождённого иммунитета (TLR2, TLR4, TLR9), антимикробные пептиды и другие эффекторные молекулы экспрессируются по-разному в очаге и вне его. Выявленный локальный дисбаланс факторов врождённого иммунитета может способствовать более тяжёлому течению заболевания. Курс фототерапии приводит к нормализации экспрессионного профиля рецепторных и эффекторных молекул врождённого иммунитета и, соответственно, к стабильному положительному клиническому эффекту.
В перспективе целесообразно оценить действие фототерапии на генетические и белковые профили иммунитета, что позволит уточнить иммунопатогенез псориаза и обосновать эффективность проводимой терапии.
Дополнительная информация
Вклад авторов. О.Ю. Олисова ― разработка концепции, критический анализ исследования, наблюдение за больными с псориазом, анализ групп исследования, редактирование статьи; О.С. Яцкова ― анализ исследования, наблюдение за больными с псориазом, редактирование статьи; Е.П. Быстрицкая ― проведение экспериментальной (лабораторной) части исследования, статистический анализ данных, написание статьи; Т.И. Радченко ― проведение экспериментальной (лабораторной) части исследования, статистический анализ данных; Е.И. Жгельская ― наблюдение за больными с псориазом, анализ групп исследования, написание статьи; О.А. Свитич ― разработка концепции, критический анализ исследования, анализ групп исследования, редактирование статьи. Все авторы одобрили рукопись (версию для публикации), а также согласились нести ответственность за все аспекты работы, гарантируя надлежащее рассмотрение и решение вопросов, связанных с точностью и добросовестностью любой её части.
Этическая экспертиза. Исследование проведено с соблюдением принципов клинической практики (Good Clinical Practice) и этических норм Хельсинкской декларации Всемирной медицинской ассоциации (рекомендации для врачей по проведению биомедицинских исследований на людях) при наличии информированного согласия на участие в исследовании. Исследование одобрено локальным этическим комитетом Первого МГМУ имени И.М. Сеченова (протокол № 120 от 15.03.2023).
Источники финансирования. Отсутствуют.
Раскрытие интересов. Авторы заявляют об отсутствии отношений, деятельности и интересов за последние три года, связанных с третьими лицами (коммерческими и некоммерческими), интересы которых могут быть затронуты содержанием статьи.
Оригинальность. При проведении исследования и создании настоящей работы авторы не использовали ранее опубликованные сведения (текст, иллюстрации, данные).
Доступ к данным. Доступ к данным, полученным в настоящем исследовании, закрыт в связи с конфиденциальностью данных.
Генеративный искусственный интеллект. При создании настоящей статьи технологии генеративного искусственного интеллекта не использовали.
Рассмотрение и рецензирование. Настоящая работа подана в журнал в инициативном порядке и рассмотрена по обычной процедуре. В рецензировании участвовали два внешних рецензента и научный редактор издания.
Additional information
Authors' contributions. O.Yu. Olisova ― concept development, critical analysis of the study, observation of patients with psoriasis, analysis of the study groups, article editing; O.S. Yazkova ― analysis of the study, observation of patients with psoriasis, article editing; writing the article; E.P. Bystritskaya ― conducting the experimental (laboratory) part of the stud, statistical data analysis, writing the article; T.I. Radchenko ― conducting the experimental (laboratory) part of the stud, statistical data analysis; E.I. Zhgelskaya ― observation of patients with psoriasis, analysis of the study groups, writing the article; O.A. Svitich ― concept development, critical analysis of the study, analysis of the study groups, article editing. Thereby, all authors provided approval of the version to be published and agree to be accountable for all aspects of the work in ensuring that questions related to the accuracy or integrity of any part of the work are appropriately investigated and resolved.
Ethics approval. The study was conducted in compliance with the principles of clinical practice (Good Clinical Practice) and the ethical standards of the Helsinki Declaration of the World Medical Association (recommendations for physicians on conducting biomedical research on humans) with informed consent to participate in the study. The study was approved by the local ethics committee of I.M. Sechenov First Moscow State Medical University (protocol No. 120 dated 03/15/2023).
Funding sources. No funding.
Disclosure of interests. The authors declare that they have no known competing financial interests or personal relationships that could have appeared to influence the work reported in this paper.
Statement of originality. When conducting the research and creating this work, the authors did not use previously published information (text, illustrations, data).
Data availability statement. Access to the data obtained in this study is closed due to data confidentiality.
Generative AI. Generative AI technologies were not used for this article creation.
Provenance and peer-review. This paper was submitted to the journal on an unsolicited basis and reviewed according to the usual procedure. Two external reviewers and the scientific editor of the publication participated in the review.
About the authors
Olga Yu. Olisova
I.M. Sechenov First Moscow State Medical University (Sechenov University)
Author for correspondence.
Email: olisovaolga@mail.ru
ORCID iD: 0000-0003-2482-1754
SPIN-code: 2500-7989
д-р мед. наук, профессор, чл.-корр. РАН
Russian Federation, MoscowOlga S. Yazkova
Central polyclinic
Email: olesha230808@mail.ru
ORCID iD: 0000-0002-9644-4778
SPIN-code: 9548-9076
MD, Cand. Sci. (Medicine)
Russian Federation, MoscowElizaveta P. Bystritskaya
I. Mechnikov Research Institute of Vaccines and Sera
Email: lisabystritskaya@gmail.com
ORCID iD: 0000-0001-8430-1975
SPIN-code: 6769-2534
Russian Federation, Moscow
Tatiana I. Radchenko
Lomonosov Moscow State University
Email: tati.radchenko2004@gmail.com
ORCID iD: 0009-0007-2575-4158
Russian Federation, Moscow
Elizaveta I. Zhgelskaya
I.M. Sechenov First Moscow State Medical University (Sechenov University)
Email: lizaderm@yandex.ru
ORCID iD: 0009-0003-9228-0686
Russian Federation, Moscow
Oxana A. Svitich
I.M. Sechenov First Moscow State Medical University (Sechenov University); I. Mechnikov Research Institute of Vaccines and Sera
Email: svitichoa@yandex.ru
ORCID iD: 0000-0003-1757-8389
SPIN-code: 8802-5569
MD, Dr. Sci. (Medicine), corresponding member of the Russian Academy of Sciences
Russian Federation, Moscow; MoscowReferences
- Parisi R, Symmons DP, Griffiths CE, Ashcroft DM; Identification and Management of Psoriasis and Associated ComorbidiTy (IMPACT) project team. Global epidemiology of psoriasis: A systematic review of incidence and prevalence. J Invest Dermatol. 2013;133(2):377–385. doi: 10.1038/jid.2012.339
- Polak K, Bergler-Czop B, Szczepanek M, et al. Psoriasis and gut microbiome: Current state of art. Int J Mol Sci. 2021;22(9):4529. doi: 10.3390/ijms22094529 EDN: JJAGVS
- Boehncke WH, Schön MP. Psoriasis. Lancet. 2015;386(9997):983–994. doi: 10.1016/s0140-6736(14)61909-7
- Girolomoni G, Strohal R, Puig L, et al. The role of IL-23 and the IL-23/Th17 immune axis in the pathogenesis and treatment of psoriasis. J Eur Acad Dermatol Venereol. 2017;31(10):1616–1626. doi: 10.1111/jdv.14433
- Lowes MA, Suárez-Fariñas M, Krueger JG. Immunology of psoriasis. Annu Rev Immunol. 2014;32:227–255. doi: 10.1146/annurev-immunol-032713-120225 EDN: SOVLAF
- Büchau AS, Gallo RL. Innate immunity and antimicrobial defense systems in psoriasis. Clin Dermatol. 2007;25(6):616–624. doi: 10.1016/j.clindermatol.2007.08.016
- Singh TP, Schön MP, Wallbrecht K, et al. Involvement of IL-9 in Th17-associated inflammation and angiogenesis of psoriasis. PloS One. 2013;8(1):e51752. doi: 10.1371/journal.pone.0051752
- Langan EA, Griffiths CE, Solbach W, et al. The role of the microbiome in psoriasis: Moving from disease description to treatment selection? Br J Dermatol. 2018;178(5):1020–1027. doi: 10.1111/bjd.16081
- Curry JL, Qin JZ, Bonish B, et al. Innate immune-related receptors in normal and psoriatic skin. Arch Pathol Lab Med. 2003;127(2):178–186. doi: 10.5858/2003-127-178-IIRRIN
- Carrasco S, Neves FS, Fonseca MH, et al. Toll-like receptor (TLR) 2 is upregulated on peripheral blood monocytes of patients with psoriatic arthritis: A role for a gram-positive inflammatory trigger? Clin Exp Rheumatol. 2011;29(6):958–962.
- Garcia-Rodriguez S, Arias-Santiago S, Perandrés-López R, et al. Increased gene expression of Toll-like receptor 4 on peripheral blood mononuclear cells in patients with psoriasis. J Eur Acad Dermatol Venereol. 2013;27(2):242–250. doi: 10.1111/j.1468-3083.2011.04372.x
- Gürel G, Sabah-Özcan S. Evaluation of Toll-like receptor expression profile in patients with psoriasis vulgaris. Gene. 2019;702:166–170. doi: 10.1016/j.gene.2019.03.058
- Prignano F, Lombardo G, Indino S, et al. Evaluation of expression of toll-like receptors 7 and 9, proliferation, and cytoskeletal biomarkers in plaque and guttate psoriasis: A pilot morphological study. Eur J Histochem. 2021;65(1):3218. doi: 10.4081/ejh.2021.3218
- Nakao M, Sugaya M, Fujita H, et al. TLR2 deficiency exacerbates imiquimod-induced psoriasis-like skin inflammation through decrease in regulatory T cells and impaired IL-10 production. Int J Mol Sci. 2020;21(22):8560. doi: 10.3390/ijms21228560
- Lande R, Gregorio J, Facchinetti V, et al. Plasmacytoid dendritic cells sense self-DNA coupled with antimicrobial peptide. Nature. 2007;449(7162):564–569. doi: 10.1038/nature06116
- Miura S, Garcet S, Li X, et al. Cathelicidin antimicrobial peptide LL37 induces toll-like receptor 8 and amplifies IL-36γ and IL-17C in human keratinocytes. J Invest Dermatol. 2023;143(5):832–841.e4. doi: 10.1016/j.jid.2022.10.017 EDN: ZVIMEW
- Lao J, Xie Z, Qin Q, et al. Serum LL-37 and inflammatory cytokines levels in psoriasis. Immun Inflamm Dis. 2023;11(3):e802. doi: 10.1002/iid3.802
- Fry L, Baker BS, Powles AV, et al. Is chronic plaque psoriasis triggered by microbiota in the skin? Br J Dermatol. 2013;169(1):47–52. doi: 10.1111/bjd.12322
- Uzuncakmak TK, Karadag AS, Ozkanli S, et al. Alteration of tissue expression of human beta defensin-1 and human beta defensin-2 in psoriasis vulgaris following phototherapy. Biotech Histochem. 2020;95(4):243–248. doi: 10.1080/10520295.2019.1673901
- Bodoor K, Al-Qarqaz F, Heis LA, et al. IL-33/13 axis and IL-4/31 axis play distinct roles in inflammatory process and itch in psoriasis and atopic dermatitis. Clin Cosmet Investig Dermatol. 2020;13:419–424. doi: 10.2147/CCID.S257647
- Cancino-Díaz JC, Reyes-Maldonado E, Bañuelos-Pánuco CA, et al. Interleukin-13 receptor in psoriatic keratinocytes: Overexpression of the mRNA and underexpression of the protein. J Invest Dermatol. 2002;119(5):1114–1120. doi: 10.1046/j.1523-1747.2002.19509.x EDN: BEYVUJ
Supplementary files






