Modern approach to pathogenetic therapy of atopic dermatitis: efficacy of filaggrinol-containing emollient plus based on filaggrin dynamics and clinical indices
- Authors: Snarskaya E.S.1, Bratkovskaya A.V.1
-
Affiliations:
- The First Sechenov Moscow State Medical University (Sechenov University)
- Issue: Vol 28, No 3 (2025)
- Pages: 317-330
- Section: DERMATOLOGY
- Submitted: 18.06.2025
- Accepted: 27.06.2025
- Published: 27.07.2025
- URL: https://rjsvd.com/1560-9588/article/view/685060
- DOI: https://doi.org/10.17816/dv685060
- EDN: https://elibrary.ru/RBJMNM
- ID: 685060
Cite item
Abstract
BACKGROUND: Atopic dermatitis is a multifactorial, genetically determined inflammatory skin disease. Mutations in the filaggrin (FLG) gene, which encodes a key protein of the epidermal barrier, represent the most significant genetic risk factor for the development of atopic dermatitis. Filaggrin deficiency impairs skin barrier function, increases transepidermal water loss, and facilitates allergen penetration. Contemporary research focuses on strategies to restore filaggrin levels. Emollient plus formulations represent a promising pathogenetic approach for restoring epidermal barrier integrity.
AIM: To evaluate the efficacy of a filaggrinol-containing emollient plus in increasing filaggrin levels and improving clinical outcomes in patients with atopic dermatitis.
METHODS: Sixty patients with atopic dermatitis were enrolled and divided into a study group (n = 45), who used a filaggrinol-containing emollient plus, and a control group (n = 15), who received standard moisturizing therapy. The study assessed changes in clinical indices (vIGA-AD, EASI, POEM, ELMAN, DLQI, and SKINDEX) and filaggrin expression in the skin before and after treatment.
RESULTS: The study group demonstrated a statistically significant increase in filaggrin levels (p = 0.024) along with significant improvements across all clinical and quality-of-life indices (p < 0.05). Although positive trends were observed in the control group, several scales did not show statistically significant improvement. The absolute intergroup differences in post-treatment filaggrin levels were not statistically significant, yet the intragroup dynamics in the study group support the pathogenetic efficacy of filaggrinol-containing emollient plus in restoring filaggrin.
CONCLUSION: Filaggrinol-containing emollient plus increases filaggrin levels and significantly improves clinical symptoms and quality of life in patients with atopic dermatitis. These findings support its use as a pathogenetically justified, effective, safe, and well-tolerated agent for baseline therapy of atopic dermatitis.
Full Text
ОБОСНОВАНИЕ
Атопический дерматит ― мультифакторное, генетически детерминированное воспалительное заболевание кожи, характеризуемое выраженной сухостью кожи, интенсивным зудом и хроническим рецидивирующим течением [1].
Несмотря на стабильность показателей распространённости атопического дерматита, общее число пациентов продолжает неуклонно расти: согласно данным глобального исследования Global Burden of Disease (GBD), на сегодняшний день в мире насчитывается около 129 миллионов пациентов с атопическим дерматитом, а к 2050 году ожидается увеличение этого показателя до 148 миллионов [2, 3].
Атопический дерматит представляет собой серьёзную социально-экономическую проблему, занимая 15-е место среди хронических заболеваний по суммарному показателю лет жизни, скорректированных по нетрудоспособности (Disability-Adjusted Life Year, DALY) [4]. Более того, атопический дерматит лидирует по данному индексу среди всех кожных болезней, что подчёркивает значимость влияния на общественное здоровье.
Особый интерес представляет и выраженная региональная вариабельность заболевания: страны с высоким уровнем доходов демонстрируют наиболее высокие показатели распространённости DALY при атопическом дерматите. Вероятными причинами являются рост урбанизации, воздействие антропогенных факторов внешней среды и улучшение диагностических возможностей в этих регионах [3].
Рост абсолютного числа пациентов с атопическим дерматитом создаёт возрастающую нагрузку на систему здравоохранения и требует разработки комплексных подходов к ведению заболевания. Следует отметить, что негативное влияние атопического дерматита выходит далеко за рамки кожных проявлений: у пациентов часто наблюдаются нарушения сна, тревожные расстройства и депрессия, а также значительные финансовые затраты на лечение, что ещё больше утяжеляет их состояние [5].
Одним из ключевых факторов патогенеза атопического дерматита является нарушение барьерной функции кожи, в основе которого лежит дефицит филаггрина [6]. Этот важнейший структурный белок эпидермиса обеспечивает целостность и адекватную гидратацию кожного барьера [7]. Снижение экспрессии филаггрина может быть обусловлено как генетическими мутациями в гене FLG, так и влиянием факторов внешней среды [8, 9]. Дефицит филаггрина ассоциирован с ранним дебютом заболевания, его стойким течением в зрелом возрасте, повышенным риском трансдермальной сенсибилизации, повышением концентрации иммуноглобулина Е (IgE) и нарушением дифференцировки кератиноцитов [10]. В связи с этим современные исследования активно фокусируются на возможностях коррекции и восстановления концентрации филаггрина, а также способах его замещения [11, 12].
Цель исследования ― изучение клинической эффективности применения эмолента плюс Адмера, содержащего филагринол, а также его влияния на динамику экспрессии филаггрина в коже пациентов с атопическим дерматитом.
МЕТОДЫ
Дизайн исследования
Одноцентровое рандомизированное открытое контролируемое интервенционное исследование с проспективной оценкой исходов.
Критерии соответствия
Критерии включения: пациенты с установленным диагнозом атопического дерматита, согласно уточнённым критериям диагностики атопического дерматита Ханифина–Райка (Hanifin-Rajka), в возрасте от 18 до 60 лет.
Критерии невключения: любые тяжёлые, декомпенсированные или нестабильные соматические заболевания или состояния, которые, по мнению исследователя, угрожают жизни больного или ухудшают прогноз заболевания; другие сопутствующие заболевания, которые требуют назначения системных кортикостероидов, цитостатиков, иммуносупрессантов, антиметаболитов, антицитокиновых препаратов в ходе исследования; гиперчувствительность к компонентам препаратов; беременность или лактация; острая психотическая продуктивная симптоматика (психоз, галлюцинации, бред); участие в другом клиническом исследовании в последние 30 дней; факт наличия ВИЧ-инфекции, гепатита B/C; топическое применение какого-либо исследуемого препарата в течение 4 недель или 5 периодов полувыведения соответствующего препарата (в зависимости от того, что больше) до запланированного начала терапии либо участие в исследовании топической терапии в настоящее время; любое состояние, способное, по мнению исследователя, представлять угрозу для благополучия участника исследования или затруднять выполнение/соблюдение им требований, предъявляемых в ходе исследования.
Критерии исключения: недооценка критериев включения/исключения на скрининге; развитие нежелательного явления, требующего изменения эмолента или назначения дополнительной терапии; появление у пациента критериев исключения во время проведения исследования; нарушение протокола; утрата связи с пациентом при наблюдении; отзыв информированного согласия.
Условия проведения
Исследование проведено на базе кафедры кожных и венерических болезней имени В.А. Рахманова ФГАОУ ВО «Первый Московский государственный медицинский университет имени И.М. Сеченова» Минздрава России (Сеченовский Университет). Лабораторная часть исследования проводилась на базе Научно-технологического парка биомедицины Сеченовского Университета (Институт регенеративной медицины).
Продолжительность исследования
Исследование выполнено в период с 2023 по 2025 год.
Описание медицинского вмешательства
Участники исследования (n=60) рандомизированы в две группы: пациенты основной группы получали стандартную противовоспалительную терапию и базовый уход эмолентом плюс c филагринолом Адмера (Индия); пациенты контрольной группы ― стандартную противовоспалительную терапию и официнальные увлажняющие средства (крем Унны или крем Дерматоловый) в соответствии со стандартом терапии клинических рекомендаций Российского общества дерматовенерологов и косметологов (РОДВК).
Крем, содержащий филагринол, наносили на всю поверхность кожи на протяжении всего периода наблюдения в соответствии с рекомендациями по ведению пациентов с атопическим дерматитом и инструкцией эмолента. Анализ образцов эпидермиса на содержание филаггрина иммуногистохимическим методом осуществлялся на этапе включения в исследование и по его завершении через 28 дней с участков непоражённой кожи.
Методы регистрации исходов
Данные клинической эффективности оценивались на основании опросников степени тяжести заболевания, таких как глобальная шкала оценки атопического дерматита, утверждённая исследователем (Validated Investigator Global Assessment for Atopic Dermatitis Scale, vIGA-AD), индекс распространённости и тяжести экземы (Eczema Area and Severity Index, EASI), пациентоориентированная шкала измерения экземы (Patient Oriented Eczema Measure, POEM), 5-мерная шкала зуда (5D Elman scale), и влияния на качество жизни пациентов, таких как опросник для оценки влияния кожного заболевания на качество жизни (SKINDEX-29), дерматологический индекс качества жизни (Dermatology Life Quality Index, DLQI).
Иммуногистохимическое исследование проводили по следующему протоколу: образцы доставляли в лабораторию в чашках Петри с соблюдением условий транспортировки. Каждый диск с биоматериалом переносили на предметные стёкла с адгезивным покрытием, эпителиальной поверхностью вверх для последующей фиксации и окрашивания.
Этапы иммуногистохимического исследования:
- фиксация образцов;
- антигенная демаскировка и блокировка неспецифического связывания;
- инкубация с первичными антителами;
- промывка и инкубация с вторичными антителами;
- визуализация реакции (окрашивание);
- контрастирование и заключение образцов.
Оценка результатов иммуногистохимического анализа экспрессии филаггрина: первичная цифровая обработка иммуногистохимически окрашенных образцов проводилась с использованием программного обеспечения ImageJ (NIH, США).
Статистический анализ
Анализ проводился при помощи программы StatTech версии 4.7.3 (Статтех, Россия). Распределение количественных данных оценивалось с помощью критериев Шапиро–Уилка и Колмогорова–Смирнова (в зависимости от объёма выборки). Поскольку данные не соответствовали нормальному распределению, использовали непараметрические методы: U-критерий Манна–Уитни для сравнения независимых групп; критерий Уилкоксона для сравнения повторных измерений в одной группе; критерий χ² Пирсона и точный критерий Фишера при анализе категориальных данных.
Критерий статистической значимости отличий принимался за p <0,05.
РЕЗУЛЬТАТЫ
Объекты (участники) исследования
В исследование включено 60 пациентов, страдающих атопическим дерматитом, из них мужчин ― 23, женщин ― 37. Средний возраст участников ― 29,0 лет, нижний и верхний квартили ― от 22,0 до 39,2 года.
Все 60 пациентов соответствовали критериям отбора и были распределены в две группы ― основную (n=45; 17 мужчин и 28 женщин), получавшую исследуемый продукт, и контрольную (n=15; 8 мужчин и 7 женщин).
Основные результаты исследования
Результаты оценки динамики индекса vIGA-AD. Анализ динамики индекса vIGA-AD продемонстрировал значимое улучшение состояния пациентов в обеих группах ― контрольной (p=0,004) и основной (p <0,001), при этом между группами статистически значимых различий ни до начала терапии (p=0,695), ни после её завершения (p=0,066) не установлено, однако в основной группе отмечена тенденция к более выраженному улучшению симптомов (табл. 1).
Таблица 1. Анализ динамики шкалы vIGA-AD в группах исследования
Table 1. Analysis of the dynamics of vIGA-AD in the study groups
Группа | Степень тяжести | vIGA-AD: этапы наблюдения | p | |||
до лечения | после лечения | |||||
абс. | % | абс. | % | |||
Контрольная | Практически чистая кожа | 2 | 13,3 | 4 | 26,7 | 0,004* |
Лёгкая | 1 | 6,7 | 7 | 46,7 | ||
Средняя | 9 | 60,0 | 4 | 26,7 | ||
Тяжёлая | 3 | 20,0 | 0 | 0,0 | ||
Основная | Практически чистая кожа | 4 | 9,5 | 25 | 59,5 | <0,001* |
Лёгкая | 8 | 19,0 | 13 | 31,0 | ||
Средняя | 21 | 50,0 | 4 | 9,5 | ||
Тяжёлая | 9 | 21,4 | 0 | 0,0 | ||
p | 0,695 | 0,066 | - | |||
Примечание. * Различия показателей статистически значимы (p <0,05).
Note. * Differences in indicators are statistically significant (p <0.05).
Результаты оценки динамики индекса EASI. Оценка динамики индекса EASI также показала достоверные улучшения в обеих исследуемых группах (p <0,001); табл. 2. Несмотря на отсутствие значимых межгрупповых различий до (p=0,696) и после (p=0,128) терапии, отмечаются положительная динамика показателя и клиническая эффективность эмолента плюс с филагринолом, превышающая эффективность эмолента в группе контроля.
Таблица 2. Анализ динамики EASI в группах исследования
Table 2. Analysis of the dynamics of EASY in the study groups
Группа | EASI: этапы наблюдения | p | |||
до лечения | после лечения | ||||
Me | Q1; Q3 | Me | Q1; Q3 | ||
Контрольная | 20,10 (n=15) | 10,35; 21,30 | 4,90 (n=15) | 4,45; 13,15 | <0,001* |
Основная | 13,20 (n=34) | 7,90; 25,50 | 2,55 (n=34) | 1,25; 6,70 | <0,001* |
p | 0,696 | 0,128 | - | ||
Примечание. * Различия показателей статистически значимы (p <0,05).
Note. * Differences in indicators are statistically significant (p <0.05).
Результаты оценки динамики индекса POEM. Сходная картина наблюдалась при оценке субъективной симптоматики по шкале POEM. Так, в основной группе медианное значение снизилось с 19,0 [Q1; Q3: 11,0; 24,0] до 4,0 [Q1; Q3: 3,0; 7,0], при этом различия с исходным уровнем были статистически значимыми (p <0,001). В контрольной группе медиана снизилась с 17,0 [Q1; Q3: 9,0; 20,0] до 8,0 [Q1; Q3: 5,5; 18,5], однако изменения не достигли уровня значимости (p=0,095). При межгрупповом сравнении по окончании терапии выявлено достоверное преимущество основной группы (p=0,013); табл. 3.
Таблица 3. Анализ динамики шкалы POEM в группах исследования
Table 3. Analysis of the dynamics of POEM in the study groups
Группа | POEM: этапы наблюдения | p | |||
до лечения | после лечения | ||||
Me | Q1; Q3 | Me | Q1; Q3 | ||
Контрольная | 17,00 (n=15) | 9,00; 20,00 | 8,00 (n=15) | 5,50; 18,50 | 0,095 |
Основная | 19,00 (n=34) | 11,00; 24,00 | 4,00 (n=34) | 3,00; 7,00 | <0,001* |
p | 0,402 | 0,013* | - | ||
Примечание. * Различия показателей статистически значимы (p <0,05).
Note. * Differences in indicators are statistically significant (p <0.05).
Результаты оценки динамики индекса 5D-Elman. При оценке интенсивности зуда по шкале 5D-Elman в основной группе медиана снизилась с 26,5 [Q1; Q3: 16,5; 31,75] до 14,0 [Q1; Q3: 11,25; 15,75], что было статистически достоверным (p <0,001). В контрольной группе значение изменилось с 21,0 [Q1; Q3: 19,0; 29,5] до 16,0 [Q1; Q3: 13,0; 26,0], однако без статистической значимости (p=0,083); табл. 4. Статистически значимые межгрупповые различия после терапии (p=0,038) подчеркнули преимущество использования эмолента плюс с филагринолом в облегчении зуда и улучшении самочувствия пациентов.
Таблица 4. Анализ динамики 5D-Elman в группах исследования
Table 4. Analysis of the dynamics of 5D-Elman in the study groups
Группа | 5D-Elman: этапы наблюдения | p | |||
до лечения | после лечения | ||||
Me | Q1; Q3 | Me | Q1; Q3 | ||
Контрольная | 21,00 (n=15) | 19,00; 29,50 | 16,00 (n=15) | 13,00; 26,00 | 0,083 |
Основная | 26,50 (n=34) | 16,50; 31,75 | 14,00 (n=34) | 11,25; 15,75 | <0,001* |
p | 0,487 | 0,038* | - | ||
Примечание. * Различия показателей статистически значимы (p <0,05).
Note. * Differences in indicators are statistically significant (p <0.05).
Результаты оценки динамики DLQI. При оценке дерматологического индекса DLQI отмечено значительное улучшение качества жизни в обеих группах ― в основной (p <0,001) и контрольной (p=0,001); табл. 5. Хотя межгрупповых различий после терапии не выявлено (p=0,175), выраженная позитивная динамика показателя качества жизни подтверждает эффективность эмолента с филагринолом, сопоставимую или превосходящую показатель стандартного уходового средства.
Таблица 5. Анализ динамики DLQI в группах исследования
Table 5. Analysis of the dynamics of DLQI in the study groups
Группа | DLQI: этапы наблюдения | p | |||
до лечения | после лечения | ||||
Me | Q1; Q3 | Me | Q1; Q3 | ||
Контрольная | 12,00 (n=15) | 7,50; 25,00 | 6,00 (n=15) | 3,50; 15,00 | 0,001* |
Основная | 17,00 (n=34) | 9,00; 24,00 | 4,50 (n=34) | 3,00; 7,75 | <0,001* |
p | 0,409 | 0,175 | - | ||
Примечание. * Различия показателей статистически значимы (p <0,05).
Note. * Differences in indicators are statistically significant (p <0.05).
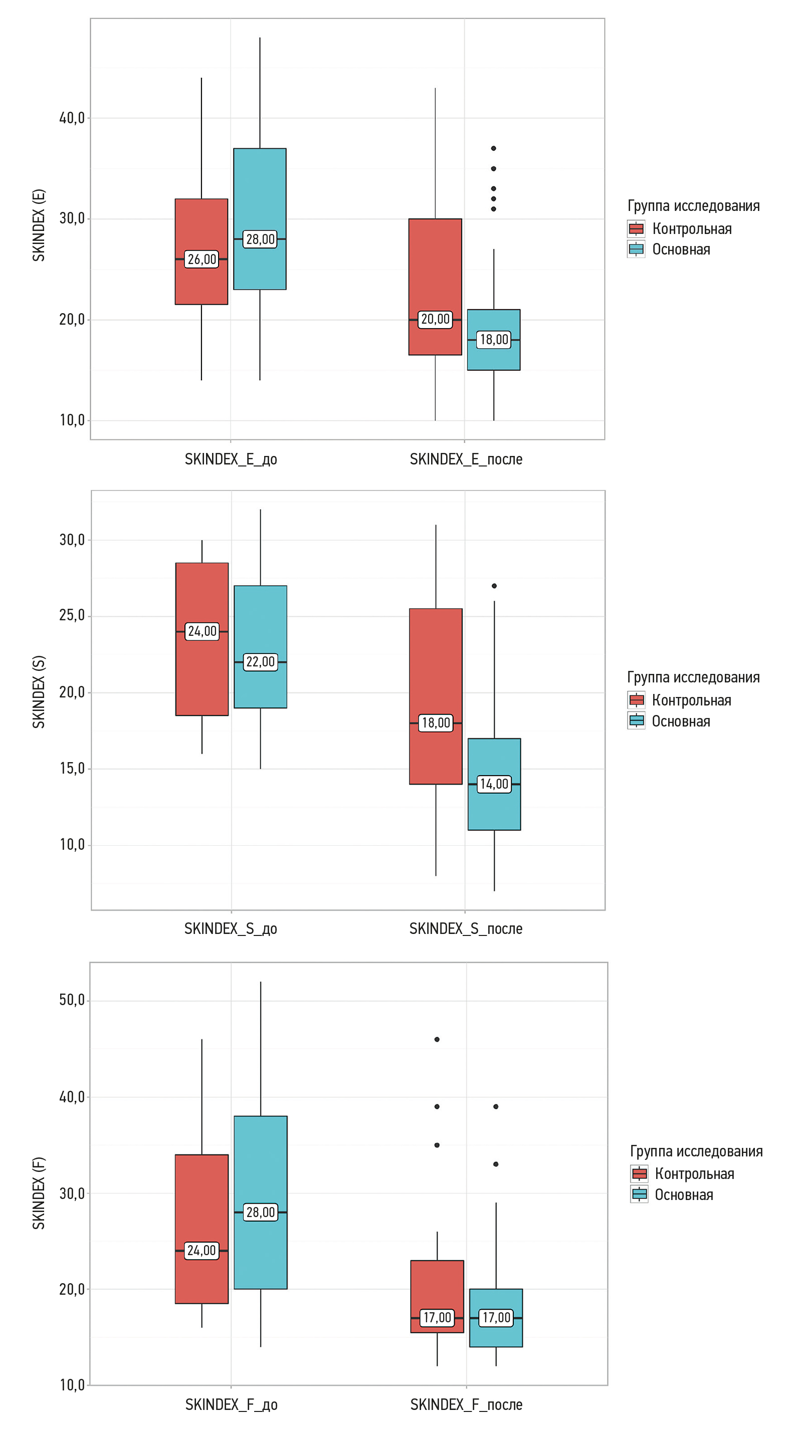
Результаты оценки динамики индекса SKINDEX. Анализ эмоционального компонента (SKINDEX-E; рис. 1) показал значимые улучшения только в основной группе (p <0,001), тогда как в контрольной группе изменения были менее выраженными и статистически недостоверными (p=0,073). Статистически значимые межгрупповые различия после терапии не установлены (p=0,309).
Рис. 1. Анализ динамики индекса SKINDEX в группах исследования.
Fig. 1. Analysis of the dynamics of the SKINDEX index in the study groups.
При изучении симптоматического компонента (SKINDEX-S; см. рис. 1) после терапии отмечены межгрупповые различия в пользу основной группы (p=0,040).
Функциональный компонент (SKINDEX-F; см. рис. 1) улучшился в обеих группах ― в основной (p <0,001) и контрольной (p=0,028). Несмотря на отсутствие межгрупповых различий до (p=0,275) и после (p=0,654) терапии, более заметное улучшение состояния в основной группе косвенно свидетельствует о более высоком терапевтическом потенциале эмолента плюс с филагринолом.
Оценка динамики экспрессии филаггрина
Сравнение количественных показателей FLG (area fraction, %). В контрольной группе медианное значение показателя составляло 0,566, при интерквартильном размахе [Q1; Q3] ― [0, 2850; 0, 8970]; в основной группе ― 0,259 и [0, 1400; 0, 5115] соответственно.
Распределение по категориям FLG. В контрольной группе (n=15) «FLG отсутствует» и «низкий уровень» совокупно составили примерно половину выборки. У части пациентов был зафиксирован «умеренный» или «высокий» уровень FLG (>0,5–1,0% и >1,0% соответственно). В основной группе (n=35) наиболее частыми категориями являлись «отсутствует» и «низкий уровень» (суммарно охватывая большую часть пациентов). Доля «умеренного» и «высокого» уровня была заметно меньше, чем в контрольной группе. Межгрупповое сравнение (U-критерий Манна–Уитни) не выявило статистически значимых различий (p=0,115), тем не менее можно отметить тенденцию к несколько более высокому уровню FLG в контрольной группе: медиана 0,566 против 0,259.
Анализ динамики FLG (area fraction, %) в группах исследования (табл. 6). Анализ показателя до лечения не выявил статистически значимых различий между группами (p=0,115, U-критерий Манна–Уитни), после лечения межгрупповая разница также оставалась недостоверной (p=0,352, U-критерий Манна–Уитни). В контрольной группе изменения FLG были статистически незначимы (p=0,679, критерий Уилкоксона), тогда как в основной группе наблюдалось достоверное увеличение концентрации филаггрина (p=0,024, критерий Уилкоксона); табл. 7.
Таблица 6. Анализ динамики FLG (балл) в группах исследования
Table 6. Analysis of FLG (score) dynamics in the study groups
Группа | Уровень FLG | FLG (балл): этапы наблюдения | p | |||
до лечения | после лечения | |||||
абс. | % | абс. | % | |||
Контрольная | Отсутствует | 1 | 6,7 | 1 | 6,7 | 0,160 |
Низкий | 6 | 40,0 | 8 | 53,3 | ||
Умеренный | 4 | 26,7 | 5 | 33,3 | ||
Высокий | 4 | 26,7 | 1 | 6,7 | ||
Основная | Отсутствует | 5 | 14,3 | 0 | 0,0 | 0,099 |
Низкий | 21 | 60,0 | 22 | 62,9 | ||
Умеренный | 5 | 14,3 | 9 | 25,7 | ||
Высокий | 4 | 11,4 | 4 | 11,4 | ||
p | 0,295 | 0,400 | - | |||
Таблица 7. Анализ динамики FLG (area fraction, %) в группах исследования
Table 7. Analysis of dynamics FLG (area fraction, %) in the study groups
Группа | FLG (area fraction, %): этапы наблюдения | p | |||
до лечения | после лечения | ||||
Me | Q1; Q3 | Me | Q1; Q3 | ||
Контрольная | 0,5100 (n=15) | 0,2135; 0,8970 | 0,4300 (n=15) | 0,1525; 0,5570 | 0,679 |
Основная | 0,2590 (n=35) | 0,1400; 0,5115 | 0,4660 (n=35) | 0,3430; 0,6905 | 0,024* |
p | 0,115 | 0,352 | - | ||
Примечание. * Различия показателей статистически значимы (p <0,05).
Note. * Differences in indicators are statistically significant (p <0.05).
ОБСУЖДЕНИЕ
Одним из ключевых патогенетических факторов развития атопического дерматита является дефицит филаггрина ― структурного белка, обеспечивающего целостность и физиологическую функциональность эпидермального барьера. Мутации в гене FLG признаны главным генетическим фактором риска развития атопического дерматита: полная инактивация гена ассоциирована более чем со 150-кратным увеличением вероятности возникновения заболевания. Одним из направлений современных терапевтических подходов является компенсация данного дефицита посредством использования топических средств, стимулирующих экспрессию филаггрина [13–15]. Согласно актуальным клиническим рекомендациям, базовая увлажняющая терапия является основой ведения пациентов с атопическим дерматитом, что обусловлено способностью увлажняющих и окклюзионных компонентов эффективно восстанавливать гидратацию и укреплять барьерные свойства эпидермиса. Клинически доказано, что регулярное использование эмолентов ведёт к снижению трансэпидермальной потери воды, увеличению гидратации рогового слоя эпидермиса, уменьшению частоты обострений и минимизации необходимости применения топических кортикостероидов [16–18].
В последние годы активно развивается направление функциональных эмолентов (emollients plus), содержащих активные ингредиенты с направленным воздействием на патогенетические механизмы атопического дерматита [19]. В данном контексте наше исследование посвящено изучению терапевтических эффектов эмолента плюс, содержащего филагринол, обладающего способностью активировать ферменты АТФ-азы, ответственные за дефосфорилирование профилаггрина, что способствует его трансформации в биологически активную форму ― филаггрин. Кроме того, филагринол повышает экспрессию гистидинсодержащего гликопротеина (histidine-rich glycoprotein, HRG) в кератиноцитах зернистого слоя, что обеспечивает структурные изменения, улучшает гидратацию и способствует укреплению эпидермального барьера [20, 21].
Результаты нашего исследования продемонстрировали статистически значимое повышение концентрации филаггрина исключительно в основной группе, применявшей Адмера эмолент плюс (p=0,024, критерий Уилкоксона), тогда как в контрольной группе существенных изменений не выявлено (p=0,679); рис. 2–5. Несмотря на отсутствие значимых межгрупповых различий по абсолютным значениям после терапии (p=0,352), именно внутригрупповое достоверное улучшение подтверждает патогенетическую обоснованность применения филагринола.
Рис. 2. Пациент Б., 36 лет, иммуногистохимическое исследование: детекция филаггрина в эпителиоцитах кожи (коричневая окраска ― обнаружение филаггрина) до (а) и после 4 недель применения эмолента плюс, содержащего филагринол (b).
Fig. 2. Patient B, 36 years old, immunohistochemical study: filaggrin detection in skin epitheliocytes (brown staining: detection of filaggrin) before (a) and after four weeks of filaggrinol-containing emollient-plus (b).
Рис. 3. Пациент Ф., 20 лет, иммуногистохимическое исследование: детекция филаггрина в эпителиоцитах кожи (коричневая окраска ― обнаружение филаггрина) до (а) и после 4 недель применения эмолента плюс, содержащего филагринол (b).
Fig. 3. Patient F., 20 years old, immunohistochemical study: filaggrin detection in skin epitheliocytes (brown staining: detection of filaggrin) before (a) and after four weeks of filaggrinol-containing emollient-plus(b).
Рис. 4. Пациент П., 19 лет, иммуногистохимическое исследование: детекция филаггрина в эпителиоцитах кожи (коричневая окраска ― обнаружение филаггрина) до (а) и после 4 недель применения эмолента плюс, содержащего филагринол (b).
Fig. 4. Рatien Р., 19 years old, immunohistochemical study: filaggrin detection in skin epitheliocytes (brown staining: detection of filaggrin) before (a) and after four weeks of filaggrinol-containing emollient-plus (b).
Рис. 5. Пациент Д., 27 лет, иммуногистохимическое исследование: детекция филаггрина в эпителиоцитах кожи (коричневая окраска ― обнаружение филаггрина) до (а) и после 4 недель применения эмолента плюс, содержащего филагринол (b).
Fig. 5. Рatient D., 27 years old immunohistochemical study: filaggrin detection in skin epitheliocytes (brown staining: detection of filaggrin) before (a) and after four weeks of filaggrinol-containing emollient-plus (b).
В ходе анализа клинических опросников установлено, что в основной группе достоверно улучшились практически все анализируемые показатели и индексы (p <0,05); рис. 6–10. В контрольной группе наблюдалась положительная динамика по ряду параметров (EASI, DLQI, SKINDEX_S, SKINDEX_F), однако изменения по индексам vIGA-AD, POEM и Elman не достигли уровня статистической значимости (p ≥0,05). Таким образом, пациенты, применявшие эмолент плюс с филагринолом, продемонстрировали более выраженное улучшение как клинических, так и субъективных симптомов заболевания.
Рис. 6. Пациент А., 37 лет, атопический дерматит, среднетяжёлая степень: состояние кожи спины до (а) и после 4 недель применения эмолента плюс, содержащего филагринол (b).
Fig. 6. Patient A., 37 years old, atopic dermatitis, moderate severity: back skin condition before (a) and after four weeks of application of filaggrinol-containing emollient-plus (b).
Рис. 7. Тот же пациент: состояние кожи верхних конечностей до (а) и после 4 недель применения эмолента плюс, содержащего филагринол (b).
Fig. 7. The same patient: skin condition of the upper extremities before (a) and after four weeks of application of filaggrinol-containing emollient-plus (b).
Рис. 8. Пациент В., 30 лет, атопический дерматит, тяжёлая степень: состояние кожи спины до (а) и после 4 недель применения эмолента плюс, содержащего филагринол (b).
Fig. 8. Patient V., 30 years old, atopic dermatitis, moderate severity: back skin condition before (a) and after four weeks of application of filaggrinol-containing emollient-plus (b).
Рис. 9. Пациент Б., 36 лет, атопический дерматит, тяжёлая степень: состояние кожи кистей до (а) и после 4 недель применения эмолента плюс, содержащего филагринол (b).
Fig. 9. Patient B., 36 years old, atopic dermatitis, moderate severity: the condition of the brush skin before (a) and after four weeks of application of filaggrinol-containing emollient-plus (b).
Рис. 10. Пациент Ф., 20 лет, атопический дерматит, тяжёлая степень: состояние кожи верхних конечностей до (а) и после 4 недель применения эмолента плюс, содержащего филагринол (b).
Fig. 10. Patient F., 20 years old, atopic dermatitis, moderate severity: skin condition of the upper extremities before (a) and after four weeks of application of filaggrinol-containing emollient-plus (b).
Таким образом, Адмера эмолент плюс может быть рекомендован в качестве базового средства дерматокосметики в комплексной терапии пациентов с атопическим дерматитом разной степени тяжести как в периоды обострений, так и в фазе ремиссии. Увлажнение кожи эмолентом плюс c филагринолом должно проводиться не менее 2–3 раз в день в период обострения атопического дерматита. Рекомендуется увлажнять всю поверхность кожного покрова, включая видимо здоровые участки кожи. Эффективность применения увлажняющих средств увеличивается сразу после кратковременных водных процедур. Продолжительность применения средств лечебной косметики определяется клинической необходимостью и не ограничена по длительности применения. Использование эмолента плюс является патогенетически обоснованным, способствует физиологическому восстановлению структур эпидермального барьера и увлажнению кожи, профилактике обострений и улучшению качества жизни пациентов.
ЗАКЛЮЧЕНИЕ
Полученные результаты свидетельствуют о том, что применение эмолента плюс Адмера c филагринолом достоверно увеличивает содержание филаггрина в эпидермисе, подтверждая его патогенетическую роль в восстановлении кожного барьера при атопическом дерматите. По ряду ключевых клинических шкал (POEM, Elman и др.) установлено статистически значимое преимущество средства по сравнению со стандартной увлажняющей терапией. Высокий профиль безопасности и положительная органолептическая оценка более чем у 80% пациентов обеспечивают высокую приверженность лечению и возможность длительного применения эмолента в качестве базовой увлажняющей терапии. Использование средства ассоциировано с выраженным улучшением объективных и субъективных симптомов заболевания, таких как зуд, сухость кожи и воспалительные проявления. Эффективность продукта не зависит от исходного уровня филаггрина, что делает его подходящим для широкого круга пациентов с атопическим дерматитом и позволяет рассматривать как патогенетически обоснованное уходовое топическое средство первой линии у пациентов с атопическим дерматитом.
ДОПОЛНИТЕЛЬНАЯ ИНФОРМАЦИЯ
Вклад авторов. Е.С. Снарская, А.В. Братковская ― сбор, обработка и анализ литературных источников, подготовка и написание статьи. Все авторы одобрили рукопись (версию для публикации), а также согласились нести ответственность за все аспекты работы, гарантируя надлежащее рассмотрение и решение вопросов, связанных с точностью и добросовестностью любой её части.
Этическая экспертиза. Исследование одобрено локальным этическим комитетом ФГАОУ ВО «Первый Московский государственный медицинский университет имени И.М. Сеченова» Минздрава России (Сеченовский Университет), выписка из протокола № 24-23 от 07.12.2023. Пациенты подписали добровольное информированное согласие на публикацию персональных данных, в том числе фотографий (с закрытием лица), в научном журнале, включая его электронную версию. Объём публикуемых данных с пациентами согласован.
Источники финансирования. Исследование проведено при поддержке компании ООО «Др. Редди’с Лабораторис».
Раскрытие интересов. Статья опубликована при поддержке ООО «Др. Редди’с Лабораторис». При подготовке рукописи авторы сохранили независимость мнения.
Оригинальность. При проведении исследования и создании настоящей работы авторы не использовали ранее опубликованные сведения (текст, иллюстрации, данные).
Доступ к данным. Доступ к данным возможен в рамках редакционной политики по запросу заинтересованных лиц.
Генеративный искусственный интеллект. При создании настоящей статьи технологии генеративного искусственного интеллекта не использовали.
Рассмотрение и рецензирование. Настоящая работа подана в журнал в инициативном порядке и рассмотрена по обычной процедуре. В рецензировании участвовали два внешних рецензента и научный редактор издания.
ADDITIONAL INFORMATION
Author contributions: E.S. Snarskaya, A.V. Bratkovskaya, collection, processing and analysis of literary sources, preparation and writing of an article. Thereby, all authors provided approval of the version to be published and agree to be accountable for all aspects of the work in ensuring that questions related to the accuracy or integrity of any part of the work are appropriately investigated and resolved.
Ethics approval: The study was approved by the local ethics committee of the Federal State Autonomous Educational Institution of Higher Education “I.M. Sechenov First Moscow State Medical University” of the Ministry of Health of the Russian Federation (Sechenov University), extract from protocol No. 24-23 dated 07.12.2023. Patients signed a voluntary informed consent for the publication of personal medical information in anonymized form for the medical journal “Russian Journal of Skin and Venereal Diseases”.
Funding sources: The study was supported by Dr. Reddy’s Laboratories, LLC.
Disclosure of interests: This article was published with the support of Dr. Reddy’s Laboratories, LLC. The authors maintained independence of opinion in the preparation of the manuscript.
Statement of originality: The authors did not utilize previously published information (text, illustrations, data) in conducting the research and creating this paper.
Data availability statement: Доступ к данным возможен в рамках редакционной политики по запросу заинтересованных лиц.
Generative AI: Generative AI technologies were not used for this article creation.
Provenance and peer-review: This paper was submitted to the journal on an initiative basis and reviewed according to the usual procedure. Two external reviewers and the scientific editor of the publication participated in the review.
About the authors
Elena S. Snarskaya
The First Sechenov Moscow State Medical University (Sechenov University)
Email: snarskaya-doc@mail.ru
ORCID iD: 0000-0002-7968-7663
SPIN-code: 3785-7859
MD, Dr. Sci. (Medicine), Professor
Russian Federation, MoscowAnna V. Bratkovskaya
The First Sechenov Moscow State Medical University (Sechenov University)
Author for correspondence.
Email: annabratk24@gmail.com
ORCID iD: 0000-0002-7284-9113
SPIN-code: 6012-7555
Russian Federation, Moscow
References
- Weidinger S, Novak N. Atopic dermatitis. Lancet. 2016;387(10023):1109–1122. doi: 10.1016/S0140-6736(15)00149-X
- Wollenberg A, Barbarot S, Bieber T, et al. Consensus-based European guidelines for treatment of atopic eczema (atopic dermatitis) in adults and children: Part I. J Eur Acad Dermatol Venereol. 2018;32(5):657–682. doi: 10.1111/jdv.14891
- GBD 2021 Asthma and Allergic Diseases Collaborators. Global, regional, and national burden of asthma and atopic dermatitis, 1990-2021, and projections to 2050: A systematic analysis of the Global Burden of Disease Study 2021. Lancet Respir Med. 2025;13(5):425–446. doi: 10.1016/S2213-2600(25)00003-7
- Fasseeh AN, Elezbawy B, Korra N, et al. Burden of atopic dermatitis in adults and adolescents: A systematic literature review. Dermatol Ther (Heidelb). 2022;12(12):2653–2668. doi: 10.1007/s13555-022-00819-6
- AAAAI/ACAAI JTF Atopic Dermatitis Guideline Panel, Chu DK, Schneider L, Asiniwasis RN, et al. Atopic dermatitis (eczema) guidelines: 2023 American Academy of Allergy, Asthma and Immunology / American College of Allergy, Asthma and Immunology Joint Task Force on Practice Parameters GRADE- and Institute of Medicine-based recommendations. Ann Allergy Asthma Immunol. 2024;132(3):274–312. doi: 10.1016/j.anai.2023.11.009
- Moosbrugger-Martinz V, Leprince C, Méchin MC, et al. Revisiting the roles of filaggrin in atopic dermatitis. Int J Mol Sci. 2022;23(10):5318. doi: 10.3390/ijms23105318
- McLean WH. Filaggrin failure: From ichthyosis vulgaris to atopic eczema and beyond. Br J Dermatol. 2016;175(Suppl 2):4–7. doi: 10.1111/bjd.14997
- Thyssen JP, Kezic S. Causes of epidermal filaggrin reduction and their role in the pathogenesis of atopic dermatitis. J Allergy Clin Immunol. 2014;134(4):792–799. doi: 10.1016/j.jaci.2014.06.014
- Drislane C, Irvine AD. The role of filaggrin in atopic dermatitis and allergic disease. Ann Allergy Asthma Immunol. 2020;124(1):36–43. doi: 10.1016/j.anai.2019.10.008
- Cabanillas B, Novak N. Atopic dermatitis and filaggrin. Curr Opin Immunol. 2016;42:1–8. doi: 10.1016/j.coi.2016.05.002
- Stefanovic N, Irvine AD. Filaggrin and beyond: New insights into the skin barrier in atopic dermatitis and allergic diseases, from genetics to therapeutic perspectives. Ann Allergy Asthma Immunol. 2024;132(2):187–195. doi: 10.1016/j.anai.2023.09.009
- Yosipovitch G, Misery L, Proksch E, et al. Skin barrier damage and itch: Review of mechanisms, topical management and future directions. Acta Derm Venereol. 2019;99(13):1201–1209. doi: 10.2340/00015555-3296
- Dębińska A. New treatments for atopic dermatitis targeting skin barrier repair via the regulation of FLG expression. J Clin Med. 2021;10(11):2506. doi: 10.3390/jcm10112506
- Stout TE, McFarland T, Mitchell JC, et al. Recombinant filaggrin is internalized and processed to correct filaggrin deficiency. J Invest Dermatol. 2014;134(2):423–429. doi: 10.1038/jid.2013.284
- Irvine AD. Crossing barriers; restoring barriers? Filaggrin protein replacement takes a bow. J Invest Dermatol. 2014;134(2):313–314. doi: 10.1038/jid.2013.506
- Wollenberg A, Kinberger M, Arents B, et al. European guideline (EuroGuiDerm) on atopic eczema. Part II: Non-systemic treatments and treatment recommendations for special AE patient populations. J Eur Acad Dermatol Venereol. 2022;36(11):1904–1926. doi: 10.1111/jdv.18429
- Wollenberg A, Barbarot S, Torrelo A. Basic emollients for xerosis cutis in atopic dermatitis: A review of clinical studies. Int J Dermatol. 2025;64 Suppl 1(Suppl 1):13–28. doi: 10.1111/ijd.17793
- Prakoeswa CR, Huda BK, Indrawati D, et al. Effectiveness and tolerability of an emollient “plus” compared to urea 10% in patients with mild-to-moderate atopic dermatitis. J Cosmet Dermatol. 2025;24(2):e70051. doi: 10.1111/jocd.70051
- Cestari S, Correia P, Kerob D. Emollients “plus” are beneficial in both the short and long term in mild atopic dermatitis. Clin Cosmet Investig Dermatol. 2023;16:2093–2102. doi: 10.2147/CCID.S417622
- Snarskaya ES, Bratkovskaya AV. Novel filagrinol-containing emollient. Vestnik dermatologii i venerologii. 2022;98(5):65–89. doi: 10.25208/vdv1342 EDN: GBGMIW
- Ignatovsky AV, Kruglova LS, Lvov A, et al. The use of emollients containing filaggrin synthesis modulators in the management of patients with atopic dermatitis and xerosis. Moscow: Central state medical academy of department of presidential affairs; 2022. 58 p. (In Russ.)
Supplementary files













