Omalizumab in the treatment of various forms of chronic urticaria
- Authors: Olisova O.Y.1, Skander D.M.1
-
Affiliations:
- I.M. Sechenov First Moscow State Medical University (Sechenov University)
- Issue: Vol 26, No 3 (2023)
- Pages: 243-250
- Section: DERMATOLOGY
- Submitted: 14.03.2023
- Accepted: 07.04.2023
- Published: 22.06.2023
- URL: https://rjsvd.com/1560-9588/article/view/321359
- DOI: https://doi.org/10.17816/dv321359
- ID: 321359
Cite item
Abstract
BACKGROUND: Chronic urticaria is a skin disease characterized by the appearance of itchy weals and/or angioedema for 6 or more weeks. Chronic urticaria is subdivided into chronic spontaneous urticaria, which occurs due to an unknown cause, and chronic inducible urticaria, which occurs as a result of exposure to various physical factors (water, cold, heat, pressure, mechanical irritation), can occur simultaneously or independently of each other. Omalizumab, anti-IgE monoclonal antibody, is approved for the treatment of patients with chronic spontaneous urticaria and is the second choice in cases of resistance to antihistamine treatment. In patients with a combination of chronic spontaneous urticaria and chronic inducible urticaria, the effectiveness of treatment with omalizumab has been little studied.
AIM: compare the effectiveness of omalizumab treatment in patients with chronic spontaneous urticaria and patients with a combination of chronic spontaneous and chronic induced urticaria.
MATERIALS AND METHODS: Under supervision there were 30 patients with chronic spontaneous urticaria and combined chronic spontaneous and inducible urticaria (15 patients in each group). Evaluation of the effectiveness of treatment was carried out according to the results of the questionnaires DLQI (dermatological index of quality of life), CU-Q2oL (questionnaire for quality of life in chronic urticaria), UCT (urticaria control test), UAS (urticaria activity scale), HADS (Hospital Anxiety and Depression Scale) and provocation tests in dynamics before and during treatment.
RESULTS: All patients received omalizumab 300 mg subcutaneously once a month for 6 to 12 months. After the first injection of omalizumab, we noted a decrease in the severity of urticaria, an increase in the level of disease control and quality of life when comparing parameters before and during treatment in more than 90% of patients. Improved performance remained at this level throughout all subsequent months of treatment.
CONCLUSION: Omalizumab is equally effective in patients with an isolated form of chronic spontaneous urticaria and in patients with a combined form of chronic spontaneous and inducible urticaria. The use of omalizumab allows you to control the symptoms of chronic spontaneous and inducible urticaria, even with prolonged use.
Full Text
ОБОСНОВАНИЕ
Хроническая крапивница ― заболевание кожи, которое характеризуется ежедневным или частым возникновением зуда, волдырей и/или ангиоотёков, развивающихся под воздействием различных внешних факторов (хроническая индуцированная крапивница, ХИНК), таких как вода, тепло, холод, механическое раздражение, давление, контактные раздражители и физическая нагрузка, или спонтанно (хроническая спонтанная крапивница, ХСК) в течение 6 и более недель [1].
Распространённость хронической крапивницы составляет 0,5–1% в общей популяции [2], при этом на ХИНК приходится от 6 до 30% всех случаев хронической крапивницы [3], на сочетанное течение ХСК и ХИНК ― 14–36% [4]. Пациенты с сочетанной формой ХСК и ХИНК могут иметь более длительное и тяжёлое течение заболевания [5] и, соответственно, значительно более выраженное снижение качества жизни [6].
Средством первого выбора для лечения больных любым видом крапивницы, согласно клиническим рекомендациям Европейской академии аллергологии и клинической иммунологии, Глобальной сети по аллергии и астме, Европейского дерматологического форума и Всемирной организации по аллергии (EAACI/GA2LEN/EDF/WAO), являются антигистаминные препараты [7]. При этом терапия первой линии как в стандартных, так и высоких дозах эффективна менее чем у 50% пациентов с хронической крапивницей [8, 9]. Согласно международному согласительному документу, для данной категории больных рекомендуется лечение препаратом второй линии ― омализумабом, который разрешён к применению у больных ХСК, рефрактерной к антигистаминным препаратам [7], и эффективность которого доказана в многочисленных исследованиях [10–12]. Кроме того, в настоящее время омализумаб применяют вне регистрационных показаний у пациентов с ХИНК [13], при этом невозможность полного исключения триггерного фактора у больных ХИНК обусловливает потребность медикаментозного лечения. Следовательно, эффективность омализумаба у пациентов с ХИНК изучена недостаточно [14], в том числе у пациентов с сочетанной формой ХСК и ХИНК [15]. Вместе с тем у пациентов с ХСК и с сочетанием ХСК и ХИНК не проводился сравнительный анализ по применению омализумаба и его эффективности.
Всё вышесказанное стало обоснованием к проведению исследования по изучению эффективности омализумаба у пациентов с различными формами хронической крапивницы.
Цель исследования ― сравнить эффективность лечения омализумабом у больных хронической спонтанной крапивницей и больных с сочетанием хронической спонтанной и хронической индуцированной крапивниц.
МАТЕРИАЛ И МЕТОДЫ
Дизайн исследования
Выполнено проспективное многоцентровое исследование.
В исследование вошли 30 пациентов с хронической крапивницей: 15 пациентов с ХСК и 15 пациентов с сочетанной формой крапивниц ― ХСК и ХИНК, из них 20 (67%) женщин и 10 (33%) мужчин. Возраст больных ― от 18 до 72 лет.
Все испытуемые прошли клиническое обследование и лечение в соответствии с клиническими рекомендациями Европейской академии аллергологии и клинической иммунологии, Глобальной сети по аллергии и астме, Европейского дерматологического форума и Всемирной организации по аллергии (EAACI/GA2LEN/EDF/WAO) по диагностике и лечению больных крапивницей (2018), а также в соответствии с федеральными клиническими рекомендациями по диагностике и лечению пациентов с крапивницей Российской ассоциации аллергологов и клинических иммунологов, Российского общества дерматовенерологов и косметологов (2019).
Обследование включало осмотр дерматолога; сбор анамнеза; заполнение валидизированных анкет (основная анкета ― опросник для пациентов с хронической крапивницей; DLQI ― дерматологический индекс качества жизни; CU-Q2oL ― опросник качества жизни при хронической крапивнице; UCT ― тест по контролю над крапивницей; UAS ― шкала активности крапивницы; HADS ― госпитальная шкала тревоги и депрессии); проведение провокационных тестов (тест с кубиком льда, тёплой водой, шпателем, физической нагрузкой и давлением); сдачу анализов (общий анализ крови, общий иммуноглобулин Е, эозинофильный катионный белок, С-реактивный белок, D-димер, фибриноген).
Сбор анализов у пациентов проводился 1 раз в месяц перед каждым введением препарата. Согласно инструкции к препарату омализумаб, всем пациентам проводилось обследование для исключения противопоказаний к проведению терапии. При выявлении сопутствующих заболеваний пациентам при необходимости проводились консультации соответствующих специалистов ― терапевта, эндокринолога, аллерголога, пульмонолога, ЛОРа. Диагноз ХСК подтверждался после исключения возможных причин (инфекционных заболеваний, глистной инвазии, физических факторов), диагноз ХИНК ― с помощью соответствующих провокационных тестов.
Контроль эффективности терапии проводился в динамике (до и на фоне лечения) с помощью результатов провокационных тестов и валидизированных русских версий опросников.
Критерии соответствия
Критерии включения: возраст 18 лет и старше; диагноз ХСК и сочетание ХСК с ХИНК; течение заболевания ≥6 недель; наличие письменного информированного согласия пациента на участие в исследовании.
Критерии невключения: возраст младше 18 лет; течение заболевания менее 6 недель; повышенная чувствительность к препарату омализумаб; беременность и лактация; тяжёлая психическая или соматическая патология.
Условия проведения
Исследование проводилось в Клинике кожных и венерических болезней имени В.А. Рахманова Университетской клинической больницы № 2 Сеченовского Университета и ГБУЗ МО «Одинцовская центральная районная больница».
Продолжительность исследования
Исследование выполнено в период с 2018 по 2022 год.
Описание медицинского вмешательства
Все пациенты получали терапию препаратом омализумаб, разрешённого на территории Российской Федерации, в дозе 300 мг подкожно 1 раз в месяц в случае отсутствия эффекта от антигистаминной терапии, согласно клиническим рекомендациям. Курс лечения составил от 6 до 12 месяцев.
Исходы заболевания
Основной исход заболевания. Улучшение качества жизни, снижение тяжести заболевания и увеличение контроля над симптомами крапивницы является оптимальной терапевтической целью исследования и ответом на лечение. Летальных исходов и осложнений у больных хронической крапивницей в нашем исследовании не наблюдалось.
Дополнительные исходы заболевания. Проводилось наблюдение за испытуемыми в течение 2 месяцев после окончания терапии с целью оценки продолжительности ремиссии и влияния на частоту возникновения рецидивов.
Методы регистрации исходов
В ходе исследования изменение качества жизни у всех пациентов оценивали с помощью опросников DLQI и СU-Q2oL, изменение тяжести заболевания ― с помощью шкалы UAS, уровень контроля над симптомами крапивницы ― по данным теста UCT в динамике (до лечения, на фоне лечения и в течение 2 месяцев после отмены терапии).
Терапия считалась полностью эффективной, если симптомы крапивницы уменьшились на 90% или более по данным опросников в динамике, частично эффективной ― если симптомы крапивницы уменьшились на 30–89%.
Этическая экспертиза
Проведение исследования одобрено локальным этическим комитетом ФГАОУ ВО «Первый МГМУ им. И.М. Сеченова» Минздрава России (номер протокола 04-18 от 11.04.2018).
Статистический анализ
Для формирования графиков, проверки нормальности распределения количественных признаков, получения описательной статистики и проведения сравнения сформированных групп пациентов с использованием критериев Стьюдента (Т-критерия), Фишера и Манна–Уитни (для признаков, имеющих отличное от нормального распределение) использованы пакеты программ Excel 2010, Statistica 7.0 и GraphPad Prism 8.4.3. Значения р <0,05 считали статистически значимыми.
РЕЗУЛЬТАТЫ
Объекты (участники) исследования
Группа пациентов с изолированной формой ХСК включала 15 пациентов возрастной категории 39 (18–62) лет, которым проводилось лечение препаратом омализумаб (9 женщин и 6 мужчин).
Группа пациентов с сочетанной формой ХСК и ХИНК включала 15 пациентов возрастной категории 43 (26–72) года, получавших терапию омализумабом (11 женщин и 4 мужчины).
У пациентов с сочетанной формой ХСК и ХИНК наблюдалась одна (53%) или несколько форм сопутствующей ХИНК (47%): замедленная вследствие давления крапивница (73%), симптоматический дермографизм (40%), холинергическая (33%), холодовая (13%), тепловая (13%).
Основные результаты исследования
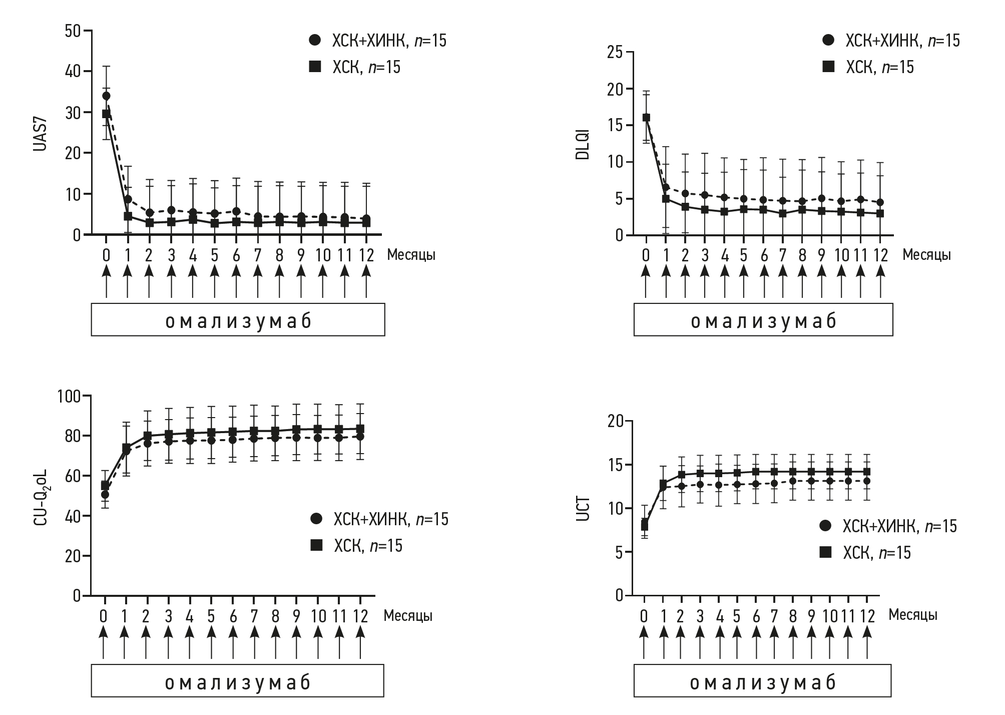
При сравнении показателей до лечения и через 1 месяц после первой инъекции омализумаба в дозе 300 мг подкожно отмечалось значительное снижение тяжести крапивницы (UAS), повышение контроля над заболеванием (UCT) и качества жизни (DLQI, Cu-Q2oL), при этом улучшенные результаты опросников и выраженный клинический эффект сохранялись на этом уровне на протяжении всего курса лечения (рис. 1).
Рис. 1. Динамика значений шкал UAS7, UCT, DLQI, CU-Q2oL в сроки от 6 до 12 месяцев терапии омализумабом в дозе 300 мг 1 раз в месяц.
Fig. 1. Changes in the values of the scales UAS7, UCT, DLQI, CU-Q2oL during 6 to 12 months of omalizumab therapy at a dose of 300 mg once a month.
Данные по уровню тревоги и депрессии (HADS) до лечения и на фоне терапии были без статистически значимых изменений у пациентов обеих групп.
У пациентов с сочетанной формой ХСК и ХИНК на фоне лечения значительно улучшились результаты провокационных тестов (рис. 2, 3).
Рис. 2. Пациент А. (первая группа), диагноз хронической спонтанной крапивницы: до лечения (a) и через 6 месяцев на фоне лечения препаратом омализумаб в дозе 300 мг (b).
Fig. 2. Patient A. (first group) diagnosed with chronic spontaneous urticaria before treatment (a) and after 6 months during treatment with omalizumab at a dose of 300 mg (b).
Рис. 3. Пациент А. (вторая группа), диагноз сочетанной формы хронической спонтанной и хронической индуцированной крапивницы: оценка эффективности лечения провокационным тестом с помощью кубика льда до лечения (a) и через 4 недели после лечения (b).
Fig. 3. Patient A. (second group) with a diagnosis of a combined form of chronic spontaneous and chronic inducible urticaria: Evaluation of the effectiveness of treatment with an ice cube challenge before treatment (a) and 4 weeks after treatment (b).
При сравнении параметров во время лечения и через 2 месяца после последней инъекции омализумаба отмечалось усиление тяжести крапивницы, снижение контроля над заболеванием и ухудшение качества жизни у пациентов обеих групп.
По результатам сравнительного анализа клинико-лабораторных показателей больных обеих групп до лечения и на фоне лечения отмечалось увеличение уровня общего IgE через 1 месяц после первого введения омализумаба по сравнению с базовыми значениями, при последующих инъекциях данная тенденция сохранялась (остальные результаты анализов до и после введения омализумаба не имеют статистически значимых различий).
Нежелательные явления
Побочных эффектов в ходе проводимого лечения омализумабом у пациентов с изолированной формой ХСК и сочетанной формой с ХИНК не отмечалось; исследование подтвердило хорошую переносимость терапии.
ОБСУЖДЕНИЕ
Резюме основного результата исследования
Результаты исследования показали, что лечение омализумабом одинаково эффективно как у пациентов с ХСК, так и у пациентов с сочетанной формой крапивниц (ХСК и ХИНК), в том числе при сочетании с множественной ХИНК и при длительном применении.
Обсуждение основного результата исследования
В последнее время в ряде исследований изучалась результативность омализумаба в терапии хронической крапивницы. В большинстве случаев в исследованиях описывают эффективность омализумаба в терапии пациентов с ХСК [10, 11], однако практически отсутствуют данные по оценке эффективности омализумаба у больных сочетанной формой крапивниц ― ХСК и ХИНК [15], в том числе при множественной ХИНК [16]. В нашем исследовании эффективность омализумаба в виде полного или частичного ответа на лечение наблюдалась более чем у 90% пациентов с сочетанной формой крапивниц (ХСК и ХИНК), равно как и у пациентов с изолированной формой ХСК, что соответствует данным литературы [17].
Следует отметить довольно быстрый ответ на терапию: уже через 7 дней после первого введения омализумаба отмечалось значительное уменьшение или полное отсутствие волдырей и зуда. Достижение выраженного терапевтического эффекта подтверждается результатами опросников (UAS, UCT, DLQI и Cu-Q2oL) и провокационных тестов в динамике (до лечения и на фоне лечения). Достигнутая ремиссия или значительное сокращение количества волдырей и зуда приводят к улучшению качества жизни пациентов.
Ограничения исследования
Пандемия COVID-19 и меры по её ограничению незначительно повлияли на сбор данных по эффективности лечения омализумабом в данном исследовании.
Необходимы дальнейшие исследования эффективности омализумаба у пациентов с изолированной формой ХИНК.
ЗАКЛЮЧЕНИЕ
Высокая эффективность и безопасность омализумаба, подтверждённые многочисленными клиническими исследованиями, делают препарат оптимальным терапевтическим выбором для пациентов с ХСК, рефрактерной к антигистаминной терапии.
Наше исследование показало, что омализумаб одинаково эффективен у пациентов с сочетанной формой ХСК и ХИНК и у пациентов с изолированной формой ХСК. Учитывая полученные нами в ходе исследования данные о том, что омализумаб может быть эффективен в отношении сопутствующей ХИНК у больных, получающих данный препарат по поводу ХСК, следует предположить, что омализумаб может также быть эффективен в отношении пациентов с изолированной формой ХИНК, хотя данное утверждение необходимо подтвердить в будущих исследованиях.
ДОПОЛНИТЕЛЬНО
Источник финансирования. Авторы заявляют об отсутствии внешнего финансирования при подготовке статьи.
Конфликт интересов. Авторы декларируют отсутствие явных и потенциальных конфликтов интересов, связанных с публикацией настоящей статьи.
Вклад авторов. Авторы подтверждают соответствие своего авторства международным критериям ICMJE (все авторы внесли существенный вклад в разработку концепции, проведение исследования и подготовку статьи, прочли и одобрили финальную версию перед публикацией). Наибольший вклад распределён следующим образом: О.Ю. Олисова, Д.М. Скандер ― концепция и дизайн исследования; Д.М. Скандер ― написание текста; О.Ю. Олисова ― редактирование.
ADDITIONAL INFORMATION
Funding source. This study was not supported by any external sources of funding.
Competing interests. The authors declare that they have no competing interests.
Authors’ contribution. The authors made a substantial contribution to the conception of the work, acquisition, analysis of literature, drafting and revising the work, final approval of the version to be published and agree to be accountable for all aspects of the work. O.Yu. Olisova, D.M. Skander ― study design and conception; D.M. Skander ― article writing; O.Yu. Olisova ― editing.
About the authors
Olga Yu. Olisova
I.M. Sechenov First Moscow State Medical University (Sechenov University)
Email: olisovaolga@mail.ru
ORCID iD: 0000-0003-2482-1754
SPIN-code: 2500-7989
MD, Dr. Sci. (Med.), Professor, Corresponding member of the Russian Academy of Sciences
Russian Federation, MoscowDayana M. Skander
I.M. Sechenov First Moscow State Medical University (Sechenov University)
Author for correspondence.
Email: Sk.dayana@mail.ru
ORCID iD: 0000-0002-3693-7626
Graduate Student
Russian Federation, MoscowReferences
- Zuberbier T, Aberer W, Asero R, et al. The EAACI/GA(2)LEN/EDF/WAO guideline for the definition, classification, diagnosis and management of urticaria. Allergy. 2018;73(7):1393–1414. doi: 10.1111/all.13397
- Fricke J, Ávila G, Keller T, et al. Prevalence of chronic urticaria in children and adults across the globe: Systematic review with meta-analysis. Allergy. 2020;75(2):423–432. doi: 10.1111/all.14037
- Trevisonno J, Balram B, Netchiporouk E, Ben-Shoshan M. Physical urticaria: Review on classification, triggers and management with special focus on prevalence including a meta-analysis. Postgrad Med. 2015;127(6):565–570. doi: 10.1080/00325481.2015.1045817
- Antia C, Baquerizo K, Korman A, et al. Urticaria: A comprehensive review: Epidemiology, diagnosis, and work-up. J Am Acad Dermatol. 2018;79(4):599–614. doi: 10.1016/j.jaad.2018.01.020
- Sánchez-Borges M, Caballero-Fonseca F, Capriles-Hulett A, et al. Factors linked to disease severity and time to remission in patients with chronic spontaneous urticaria. J Eur Acad Dermatol Venereol. 2017;31(6):964–971. doi: 10.1111/jdv.14221
- Gonçalo M, Gimenéz-Arnau A, Al-Ahmad M, et al. The global burden of chronic urticaria for the patient and society. Br J Dermatol. 2021;184(2):226–236. doi: 10.1111/bjd.19561
- Zuberbier T, Abdul Latiff AH, Abuzakouk M, et al. The international EAACI/GA(2)LEN/EuroGuiDerm/APAAACI guideline for the definition, classification, diagnosis, and management of urticaria. Allergy. 2022;77(3):734–766. doi: 10.1111/all.15090
- Kocatürk E, Can PK, Akbas PE, et al. Management of chronic inducible urticaria according to the guidelines: A prospective controlled study. J Dermatol Sci. 2017;87(1):60–69. doi: 10.1016/j.jdermsci.2017.02.283
- Maurer M, Weller K, Bindslev-Jensen C, et al. Unmet clinical needs in chronic spontaneous urticaria. A GA2LEN task force report. Allergy. 2011;66(3):317–330. doi: 10.1111/j.1398-9995.2010.02496.x
- Maurer M, Rosén K, Hsieh HJ, et al. Omalizumab for the treatment of chronic idiopathic or spontaneous urticaria. N Engl J Med. 2013;368(10):924–935. doi: 10.1056/NEJMoa1215372
- Kaplan AP, Giménez-Arnau AM, Saini SS. Mechanisms of action that contribute to efficacy of omalizumab in chronic spontaneous urticaria. Allergy. 2017;72(4):519–533. doi: 10.1111/all.13083
- Metz M, Vadasz Z, Kocaturk E, Gimenez-Arnau AM. Omalizumab updosing in chronic spontaneous urticaria: An overview of real-world evidence. Clin Rev Allergy Immunol. 2020;59(1):38–45. doi: 10.1007/s12016-020-08794-6
- Dressler C, Werner RN, Eisert L, et al. Chronic inducible urticaria: A systematic review of treatment options. J Allergy Clin Immunol. 2018;141(5):1726–1734. doi: 10.1016/j.jaci.2018.01.031
- Maurer M, Metz M, Brehler R, et al. Omalizumab treatment in patients with chronic inducible urticaria: A systematic review of published evidence. J Allergy Clin Immunol. 2018;141(2):638–649. doi: 10.1016/j.jaci.2017.06.032
- Dortas Junior S, Azizi G, Valle S. Efficacy of omalizumab in chronic spontaneous urticaria associated with chronic inducible urticaria. Ann Allergy Asthma Immunol. 2020;125(4):486–487. doi: 10.1016/j.anai.2020.06.011
- Dos Santos VR, Bidese LB, de Souza RJ, Maurer M. Effects of omalizumab in a patient with three types of chronic urticaria. Br J Dermatol. 2014;170(2):469–471. doi: 10.1111/bjd.12628
- Chen Y, Yu M, Huang X, et al. Omalizumab treatment and outcomes in Chinese patients with chronic spontaneous urticaria, chronic inducible urticaria, or both. World Allergy Organ J. 2021;14(1):100501. doi: 10.1016/j.waojou.2020.100501
Supplementary files






